Tutorial on Statistical Computing for Extremes with R

Likelihood-based inference for univariate extremes

Léo Belzile

2023-06-30

Basics of likelihoods

  • Denote by \(\boldsymbol{\theta} \in \mathcal{S} \subseteq \mathbb{R}^p\) the parameter vector.
  • Assume data has joint density \(f(\boldsymbol{y}; \boldsymbol{\theta})\).
  • The log likelihood is \(\ell(\boldsymbol{\theta}) = \log f(\boldsymbol{y}; \boldsymbol{\theta})\).
  • If the \(n\) observations are independent with density or mass function \(f_i\), then \(\ell(\boldsymbol{\theta}) = \sum_{i=1}^n \log f_i(y_i; \boldsymbol{\theta})\).
  • The maximum likelihood estimate \(\widehat{\boldsymbol{\theta}}\) is found by maximizing (numerically) \(\ell(\boldsymbol{\theta})\).

Why use maximum likelihood?

  • Easy to generalize to complex settings (nonstationarity, regression models, censoring, rounding, etc.)
  • Known to be asymptotically most efficient (Cramér–Rao bound), even if they can be biased in small samples.
  • Point estimators, etc. are invariant to reparametrization.

Extremal type theorem

Consider \(Y_i\) \((i=1,2,\ldots)\) i.i.d. with distribution \(F\).

If there exist normalizing sequences \(a_n>0\) and \(b_n \in \mathbb{R}\) such that \[\begin{align} \lim_{n \to \infty} \Pr\left(\frac{\max_{i=1}^n Y_i - b_n}{a_n} \leq x \right) = G(x), \label{eq:gevconv} \end{align}\] for \(G\) a non-degenerate distribution, then \(G\) must be generalized extreme value (GEV).

Generalized extreme value distribution

With location \(\mu \in \mathbb{R}\), scale \(\sigma \in \mathbb{R}_{+}\) and shape \(\xi \in \mathbb{R}\) parameters, the distribution function is \[\begin{align*} G(x) =\begin{cases} \exp\left\{-\left(1+\xi \frac{x-\mu}{\sigma}\right)^{-1/\xi}_{+}\right\}, & \xi \neq 0;\\ \exp\left\{-\exp\left(-\frac{x-\mu}{\sigma}\right)\right\}, & \xi = 0, \end{cases} \end{align*}\] where \(x_{+} = \max\{x, 0\}\).

The support is \(\{x \in \mathbb{R}: \xi(x-\mu)/\sigma > -1\}\).

Max-stability property

If \(Y_i \sim \mathsf{GEV}(\mu, \sigma, \xi)\) are independent, then \[\max_{i=1}^N Y_i \sim \mathsf{GEV}(\mu_N, \sigma_N, \xi),\] where

  • \(\mu_N = \mu + \sigma(N^\xi-1)/\xi\)
  • \(\sigma_N = \sigma N^\xi\)

(case \(\xi=0\) defined by continuity).

Block maximum

We can

  • partition data into blocks of roughly equal size \(m\) and
  • fit a GEV distribution to the maximum of the blocks.
library(mev)
library(xts)
library(lubridate)
data(frwinds, package = "mev")
lyon <- with(frwind, 
             xts(x = S2, order.by = date))
# Create series of yearly maximum
ymax <- apply.yearly(lyon, max)

Fitting GEV using mev package

opt_gev <- mev::fit.gev(xdat = ymax, show = TRUE)
## Log-likelihood: -142 
## 
## Estimates
##     loc    scale    shape  
## 36.1845   3.9429  -0.0112  
## 
## Standard Errors
##   loc  scale  shape  
## 0.659  0.488  0.132  
## 
## Optimization Information
##   Convergence: successful 
##   Function Evaluations: 30 
##   Gradient Evaluations: 14
mle <- coef(opt_gev)

Goodness-of-fit diagnostics

Custom methods (print, plot, coef, etc.) are defined

methods(class = "mev_gev")
## [1] anova  coef   logLik nobs   plot   print  vcov  
## see '?methods' for accessing help and source code
par(mfrow = c(1,2))
plot(opt_gev)

Numerical tricks

  • Standardize observations (e.g., scale) to facilitate optimization — the GEV is a location-scale family.
  • Even if the limit is continuous and well defined at \(\xi=0\), the log likelihood and it’s derivatives involves terms of the form \(\log(1+\xi x)\), which are numerically unstable when \(\xi \to 0\).
    • Pro tip: do not code the likelihood yourself! Otherwise,
      • use high precision arithmetic, e.g., log1p
      • replace the terms that blow up by Taylor series expansion near \(\xi=0\) (interpolation).

Score vector

When the log likelihood is differentiable, the MLE is the root of the score equation, meaning \(\ell_{\boldsymbol{\theta}}(\widehat{\boldsymbol{\theta}}) = \left.\partial \ell(\boldsymbol{\theta}) / \partial \boldsymbol{\theta} \right|_{\boldsymbol{\theta} = \widehat{\boldsymbol{\theta}}} = \boldsymbol{0}_p\).

mev::gev.score(par = mle, dat = ymax) # score
## [1]  4.44e-08 -5.53e-08 -1.49e-07
  • Gradient-based algorithms exploit this feature for optimization
  • but beware of support constraints!

Best to reparametrize so that the parameter space is \(\mathbb{R}^p\) if possible.

Information matrix and standard errors

We can extract standard errors by taking the square root of the diagonal elements of the inverse of either

  • the Fisher information, \(\imath(\boldsymbol{\theta}) = \mathsf{Cov}\{\ell_{\boldsymbol{\theta}}(\boldsymbol{\theta})\}\) or
  • the observed information \(\jmath(\boldsymbol{\theta}) = - \partial^2 \ell(\boldsymbol{\theta})/ \partial \boldsymbol{\theta} \partial \boldsymbol{\theta}^\top\),

both evaluated at the MLE \(\widehat{\boldsymbol{\theta}}\).

# Compute observed information matrix
jmat <- mev::gev.infomat(par = mle, dat = ymax)
# Compute standard errors
sqrt(diag(solve(jmat)))
##   loc scale shape 
## 0.659 0.488 0.132
# Compare with opt$std.err

Some remarks

We may compute \(j(\widehat{\boldsymbol{\theta}})\) (the negative Hessian of log likelihood) numerically through finite differences.

Many software implementations compute MLE via Nelder–Mead simplex algorithm:

  • check the gradient and/or
  • the log likelihood differences

to make sure the optimisation was successful.

Properties of MLE

  • Maximum likelihood estimators are asymptotically Gaussian whenever \(\xi > -1/2\) with data in domain of attraction of extreme value distribution.
  • Consistency requires that one increases block size, etc. as \(n\) increases at a particular rate depending on \(F\).

Regularity conditions

Some cumulants (moments of derivatives of the log likelihood) of extreme value models do not exist.

  • the MLE does not solve the score equation if \(\widehat{\xi} \leq -1\)
  • MLE is not unique for \(\xi < -1\) (some combinations of \(\mu\) and \(\sigma\) yield infinite log likelihood).
    • restrict the parameter space to \(\{\boldsymbol{\theta}: y_1, \ldots, y_n \in \mathrm{supp}(\boldsymbol{\theta}), \xi \geq -1\}\)
    • For GEV, MLE at boundary is \((\widehat{\mu}=\overline{y}, \widehat{\sigma} = \max(y) - \overline{y}, \xi=-1)\).

Regularity conditions

If \(\widehat{\xi} < -1/2\), cannot evaluate the information matrix.

  • Regularity assumptions do not apply! reported std. errors are misleading.
  • Typically faster convergence, joint limit not asymptotically normal (Smith, 1985).

In applications, shape is typically close to zero, so authors sometimes restrict \(\xi \in (-0.5, 0.5)\).

Penalization of the shape helps ensure that we get reasonable estimates in small samples.

Invariance property of maximum likelihood

If \(h\) is a mapping, then \(h(\widehat{\boldsymbol{\theta}})\) is the MLE of \(h(\boldsymbol{\theta})\).

The expected value of the \(N=50\)-years maximum for \(\xi < 1\), is \[\begin{align*}\mathfrak{e}_N = h(\mu, \sigma, \xi) = \mu_N + \sigma_N\{\Gamma(1-\xi)-1\}/\xi. \end{align*}\]

Thus, the MLE \(\widehat{\mathfrak{e}}_N=h(\widehat{\mu}, \widehat{\sigma}, \widehat{\xi})\).

# MLE of expectation of maximum of 50 blocks
gev.mle(xdat = ymax, args = "Nmean", N = 50)
## Nmean 
##  53.4

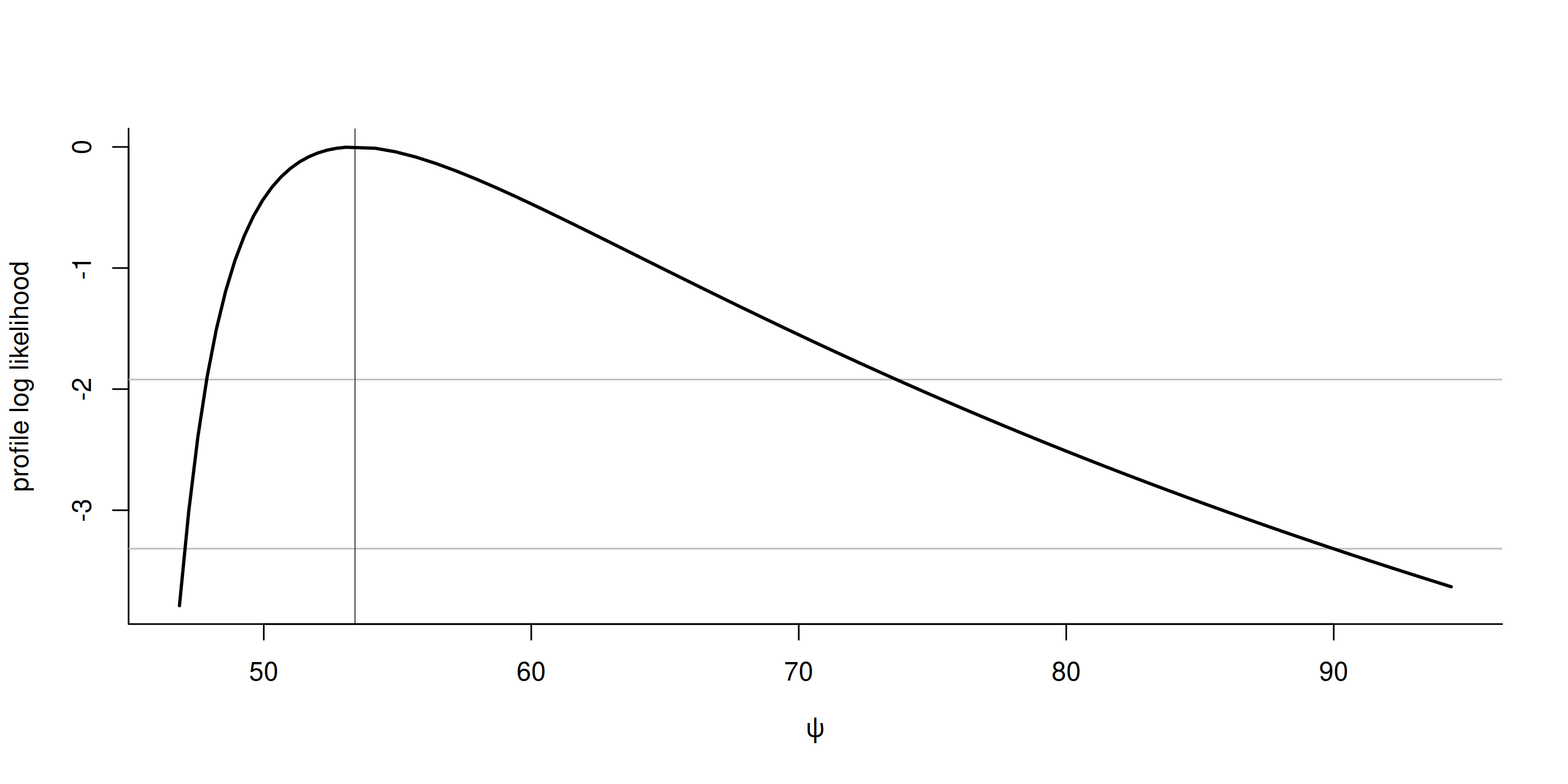
Profile log likelihood

Consider a functional of interest \(\psi\) and other parameters \(\boldsymbol{\lambda}\), treated as nuisance.

We reparametrize the log likelihood in terms of \((\psi, \boldsymbol{\lambda})\) and compute the profile log likelihood \[\begin{align*} \ell_{\mathrm{p}}(\psi) = \max_{\boldsymbol{\lambda}} \ell(\psi, \boldsymbol{\lambda}) \end{align*}\]

Plot of profile

prof <- mev::gev.pll(param = "Nmean", dat = ymax, N = 50)

Confidence intervals

Under regularity conditions, the likelihood ratio statistic \[\begin{align*} 2 \{\ell_{\mathrm{p}}(\widehat{\psi}) - \ell_{\mathrm{p}}(\psi_0)\} \stackrel{\cdot}{\sim} \chi^2_1 \end{align*}\] For the hypothesis \(\psi = \psi_0\), a \((1-\alpha)\) confidence interval based on the profile likelihood ratio test is \[\begin{align*} \{\psi: 2\{\ell(\hat{\theta}) - \ell(\hat{\theta}_{\psi})\} \leq \chi^2_1(1-\alpha)\}. \end{align*}\]

(confint(prof))
## Estimate Lower CI Upper CI 
##     53.4     47.9     73.6

Generalized Pareto

If extremal type theorem applies, then threshold exceedances \(Y-u \mid Y>u\) follow, as \(u\) tends to the upper endpoint of \(F\), a generalized Pareto distribution.

The generalized Pareto distribution is \[\begin{align*} H(y; \tau, \xi) &= \begin{cases} 1-\left(1+\xi {y}/{\tau}\right)_{+}^{-1/\xi}, & \xi \neq 0,\\ 1- \exp \left(-{y}/{\tau}\right)_{+},& \xi = 0, \end{cases} \label{eq:gpdist} \end{align*}\]

Preprocess data

  • Choose a threshold \(u\) (either an order statistic or a fixed quantity) and extract exceedances
  • Use Grimshaw (1993) algorithm to reduce the 2D optimization problem to a line search.
windlyon <- with(frwind, S2[month(date) <= 4 | month(date) >= 9])
qulev <- 1-100/nrow(windlyon)
u <- quantile(windlyon, 1-100/length(windlyon))

Fitting the generalized Pareto model

opt_gp <- mev::fit.gpd(
  xdat = windlyon, threshold = u, show = TRUE)
## Method: Grimshaw 
## Log-likelihood: -208 
## 
## Threshold: 33.8 
## Number Above: 90 
## Proportion Above: 0.008 
## 
## Estimates
##  scale   shape  
## 3.5786  0.0309  
## 
## Standard Errors
## scale  shape  
## 0.609  0.134  
## 
## Optimization Information
##   Convergence: successful

Modelling bulk

The generalized Pareto only describes what happens above the threshold, but we can use the empirical distribution below: \[\begin{align*} \widehat{\Pr}(Y_i \le x) = \sum_{i=1}^n \mathsf{I}(Y_i \le x)/n, \qquad x \leq u. \end{align*}\]

Many splicing models propose a (semi)parametric model for the bulk; see evmix package for examples

Binomial - generalized Pareto model

  • The binomial-generalized Pareto model includes a likelihood contribution for \(\mathsf{I}(Y_i >u) \sim \mathsf{Bin}(1, \zeta_u)\), where \(\zeta_u = \Pr(Y_i >u)\).
  • This third parameter is orthogonal to the others, and there is a closed-form solution for the MLE.

Block maximum vs threshold exceedances

  • Suppose we fit a \(\mathsf{GP}(\tau, \xi)\) distribution to exceedances above \(u\).
  • If there are on average \(N_y\) observations per year, the distribution of the \(N\)-year maximum conditional on exceeding \(u\) is approximately \(H^{\zeta_uNN_y}\).

Threshold stability

Mathematical basis for extrapolation.

If \[\begin{align*} Y - u \mid Y>u \sim \mathsf{GP}(\tau, \xi), \end{align*}\] then for \(\{v >u\in \mathbb{R}_{+}: \tau+\xi (u-v)>0\}\),
\[\begin{align*} Y-v \mid Y>v \sim \mathsf{GP}\{\tau + \xi (u-v), \xi\}, \end{align*}\] and \(\zeta_v = \{1+\xi(v-u)/\tau\}^{-1/\xi}\zeta_u\).

Threshold stability plots

Assuming data are exactly generalized Pareto, expect shape parameters to be constant (up to sampling variability).

useq <- quantile(windlyon, seq(0.9, 0.99, by = 0.01))
tstab.gpd(windlyon, 
          method = "profile",
          thresh = useq)

Threshold stability for shape

Figure 1: Threshold stability plot for Lyon mean wind speed

Inhomogeneous point process

Let \(Y_i\) i.i.d. from \(F\) with lower endpoint \(x^*\).

Consider \(a_n>0\) and \(b_n \in \mathbb{R}\) such that the distribution of the bidimensional point process \[\begin{align*} P_n =\left\{ \frac{i}{n}, \frac{Y_i-b_n}{a_n}, i = 1, \ldots, n\right\} \end{align*}\] converges to an inhomogeneous Poisson point process on sets of the form \((a, b) \times (z, \infty)\) for \(0 \leq a \leq b \leq 1\) and \(z>z_*=\lim_{n \to \infty} \{(x_*-b_n)/a_n\}\).

Intensity of inhomogeneous Poisson process

The intensity measure of the limiting point process, which gives the expected number of points falling in a set is \[\begin{align*} &\Lambda\{(a, b) \times (z, \infty)\} \\&\quad = (b-a)\left(1+ \xi \frac{z-\mu}{\sigma}\right)_{+}^{-1/\xi} \label{eq:pp_conv} \end{align*}\] for \(\xi \neq 0\).

Likelihood of the point process

\[\begin{align*} \mathcal{L}(\boldsymbol{\theta}; \boldsymbol{y}) &= (c\sigma)^{n_u} \prod_{i=1}^{n_u} \left(1+\xi\frac{y_i-\mu}{\sigma}\right)^{-1-1/\xi}_{+} \\& \times \exp\left\{- c \left(1+ \xi \frac{u-\mu}{\sigma}\right)^{-1/\xi}_{+}\right\}, \end{align*}\] The constant \(c\) is introduced as a way to relate the parameters of the point process likelihood to those of the GEV fitted to blocks of size \(m\) observations, e.g., \(c=n/m\).

Moins et al. (2023) propose a orthogonal reparametrization.

u <- quantile(windlyon, 0.99)
opt.pp <- fit.pp(
  xdat = windlyon, 
  threshold = u, 
  show = TRUE,
  np = diff(range(lubridate::year(frwind$date))))
## Log-likelihood: -267 
## 
## Threshold: 33.1 
## Number Above: 104 
## Proportion Above: 0.009 
## Number of periods: 47 
## 
## Estimates
##     loc    scale    shape  
## 36.3327   3.9506  -0.0592  
## 
## Standard Errors
##   loc  scale  shape  
## 0.537  0.380  0.107  
## 
## Optimization Information
##   Convergence: successful 
##   Function Evaluations: 8 
##   Gradient Evaluations: 5

Return levels

  • The probability \(p_l\) that a \(N\)-year return level is exceeded \(l\) times in \(N\) years of independent annual maxima is \(\mathsf{Bin}(N, 1/N)\).
  • For large \(N\), a Poisson approximation yields \(p_0=p_1=0.368\), \(p_2=0.184\), \(p_3=0.061\), etc.
    • The probability of at least one exceedance over \(N\) years is in fact roughly \(0.63\).
    • The return level corresponds to the 0.368 quantile of the \(N\)-year maximum distribution.

References

Grimshaw, S. D. (1993). Computing maximum likelihood estimates for the generalized Pareto distribution. Technometrics, 35(2), 185–191. https://doi.org/10.1080/00401706.1993.10485040
Moins, T., Arbel, J., Girard, S., & Dutfoy, A. (2023). Reparameterization of extreme value framework for improved Bayesian workflow. Computational Statistics & Data Analysis, to appear. https://doi.org/https://doi.org/10.1016/j.csda.2023.107807
Smith, R. L. (1985). Maximum likelihood estimation in a class of nonregular cases. Biometrika, 72(1), 67–90. https://doi.org/10.1093/biomet/72.1.67