Bayesian regression
Last compiled Tuesday Apr 15, 2025
Same, same, but different…
Consider regression models with
In the ordinary linear regression model, observations are independent and homoscedastic and \[\begin{align*} \boldsymbol{Y} \mid \mathbf{X}, \boldsymbol{\beta}, \omega \sim \mathsf{Gauss}_n(\beta_0\mathbf{1}_n + \mathbf{X}\boldsymbol{\beta}, \omega^{-1}\mathbf{I}_n). \end{align*}\]
The intercept \(\beta_0\) receives special treatment, is always included. It is typically assigned an improper prior \(p(\beta_0) \propto 1.\)
For quadratic forms (in \(\boldsymbol{x}\)) with \[\begin{align*} & (\boldsymbol{x} - \boldsymbol{a})^\top \mathbf{A}(\boldsymbol{x} - \boldsymbol{a}) + (\boldsymbol{x} - \boldsymbol{b})^\top \mathbf{B}(\boldsymbol{x} - \boldsymbol{b}) \\ &\stackrel{\boldsymbol{x}}{\propto} (\boldsymbol{x} - \boldsymbol{c})^\top \mathbf{C}(\boldsymbol{x} - \boldsymbol{c}) \end{align*}\] where \(\mathbf{C} = \mathbf{A} + \mathbf{B}\) and \(\boldsymbol{c}= \mathbf{C}^{-1}(\mathbf{A}\boldsymbol{a} + \mathbf{B}\boldsymbol{b})\).
This is useful to complete the square in Gaussian-Gaussian models.
Consider Gaussian-gamma conjugate priors for the mean and precision parameters \(\boldsymbol{\beta}\) and \(\omega\), \[\begin{align*} \boldsymbol{\beta} \mid \omega &\sim \mathsf{Gauss}\left\{\boldsymbol{\mu}_0, ( \omega\boldsymbol{\Omega}_0)^{-1}\right\} \\ \omega &\sim \mathsf{gamma}(\nu_0/2,\tau_0/2). \end{align*}\] Recall the sampling distribution of the ordinary least squares estimator is \[\widehat{\boldsymbol{\beta}} \sim \mathsf{Gauss}_p\{\boldsymbol{\beta}, (\omega\mathbf{X}^\top\mathbf{X})^{-1}\}.\]
The conditional and marginal posterior distributions for the mean coefficients \(\boldsymbol{\beta}\) and for the precision \(\omega\) are \[\begin{align*} \boldsymbol{\beta} \mid \omega, \boldsymbol{y} &\sim \mathsf{Gauss}_p\left\{\boldsymbol{\mu}_n, (\omega\boldsymbol{\Omega}_n)^{-1}\right\} \\ \omega \mid \boldsymbol{y} &\sim \mathsf{gamma}\left\{(\nu_0 + n)/2, \tau^2_n/2\right\}. \end{align*}\]
If we integrate over the precision, we get instead \[\begin{align*} \boldsymbol{\beta} \mid \boldsymbol{y} &\sim \mathsf{Student}_p(\boldsymbol{\mu}_n, \tau_n/(\nu_0+n) \times \mathbf{\Omega}_n^{-1}, \nu_0 + n) \end{align*}\]
The precision is the sum of the precision of OLS estimator and prior precision.
The posterior mean is a weighted combination of the prior and OLS means, weighted by the scaled precision. \[\begin{align*} \boldsymbol{\Omega}_n &= \mathbf{X}^\top\mathbf{X} + \boldsymbol{\Omega}_0\\ \boldsymbol{\mu}_n &= \boldsymbol{\Omega}_n^{-1}(\mathbf{X}^\top\mathbf{X}\widehat{\boldsymbol{\beta}} + \boldsymbol{\Omega}_0\boldsymbol{\mu}_0) = \boldsymbol{\Omega}_n^{-1}(\mathbf{X}^\top\boldsymbol{y} + \boldsymbol{\Omega}_0\boldsymbol{\mu}_0)\\ \tau_n &= \tau_0 + (\boldsymbol{y} - \mathbf{X}\widehat{\boldsymbol{\beta}})^\top(\boldsymbol{y} - \mathbf{X}\widehat{\boldsymbol{\beta}}) + (\boldsymbol{\mu}_n - \widehat{\boldsymbol{\beta}})^\top \mathbf{X}^\top\mathbf{X}(\boldsymbol{\mu}_n - \widehat{\boldsymbol{\beta}}) \\& \quad + (\boldsymbol{\mu}_n-\boldsymbol{\mu}_0)^\top\boldsymbol{\Omega}_0(\boldsymbol{\mu}_n-\boldsymbol{\mu}_0) \end{align*}\]
If \(X \mid \sigma^2 \sim \mathsf{Gauss}(0, \sigma^2)\) and we assign a prior \(p(\sigma^2)\)
Study 4 of Lin et al. (2024) is a 3 by 2 by 2 three-way between-subject ANOVA focusing on cultural appropriation using a fictional scenario on publication of a soul food recipe cookbook from Chef Dax.
Figure 1: Difference in appropriation rating for black vs non-black Chef Dax, average accross different levels of brand action.
The coefficients and standard errors from the linear regression are very nearly similar to the posterior mean and standard deviations for \(\boldsymbol{\beta}\) from the marginal Student-\(t,\) owing to the large sample size and uninformative priors.
On average, liberals perceive cultural appropriation more strongly (with nearly 2 points more), than conservatives (0.7 points on average).
Gaussian mixed models in frequentist statistics are of the form \[\begin{align*} \boldsymbol{Y} \mid \mathcal{B}=\boldsymbol{b} &\sim \mathsf{Gauss}_n\left(\mathbf{X}\boldsymbol{\beta} + \mathbf{Z}\boldsymbol{b}, \sigma^2 \mathbf{I}_n\right)\\ \mathcal{B} &\sim \mathsf{Gauss}_q(\boldsymbol{0}_q, \boldsymbol{\Psi}). \end{align*}\]
Bayesians also assign priors to \(\boldsymbol{\beta}\) as well! but typically apriori independent with \(\mathsf{Va}_{\boldsymbol{\beta}}(\boldsymbol{\beta}) \propto \mathbf{I}_p.\)
We need a prior for \(p \times p\) symmetric positive definite matrix random matrices!
We consider two cases:
Wishart allows for conjugacy, but has unintuitive properties.
We say \(\mathbf{Q} \sim \mathsf{Wishart}_p(\nu, \mathbf{S})\) for \(\nu>0\) degrees of freedom and scale \(\mathbf{S}\) if it’s density is proportional to \[\begin{align*} f(\boldsymbol{Q}) \stackrel{\boldsymbol{Q}}{\propto} |\boldsymbol{Q}|^{(\nu-p-1)/2}\exp\left\{-\frac{\mathrm{tr}(\mathbf{S}^{-1}\boldsymbol{Q})}{2}\right\}, \quad \nu > p-1. \end{align*}\] where \(|\cdot|\) denotes the determinant of the matrix and \(\mathrm{tr}(\cdot)\) the trace operator.
The Wishart arises from considering \(n \geq p\) independent and identically distributed mean zero Gaussian vectors \(\boldsymbol{Y}_i \sim \mathsf{Gauss}_p(\boldsymbol{0}_p, \mathbf{S})\), where \[\begin{align*} \sum_{i=1}^{\nu} \boldsymbol{Y}_i\boldsymbol{Y}_i^\top \sim \mathsf{Wishart}_p(\nu, \mathbf{S}). \end{align*}\]
For prior elicitation, the mean of the Wishart is \(\nu \mathbf{S}\)
Consider a prior for the covariance matrix \(\boldsymbol{\Sigma} = \boldsymbol{Q}^{-1}\). Applying the change of variable formula, we get Jacobian \(|\boldsymbol{\Sigma}|^{p+1}\), and so \(\boldsymbol{\Sigma} \sim \mathsf{inv. Wishart}(\nu, \mathbf{S}^{-1}),\) with density \[\begin{align*} p(\boldsymbol{\Sigma}) \propto |\boldsymbol{\Sigma}|^{-(\nu+p+1)/2} \exp\left\{-\frac{1}{2} \mathrm{tr}\left(\boldsymbol{S}^{-1}\boldsymbol{\Sigma}^{-1}\right)\right\} \end{align*}\] with expectation \(\mathbf{S}^{-1}(\nu-p-1)\) for \(\nu > p+1.\)
Consider \(\boldsymbol{\mu} \sim \mathsf{Gauss}_p(\boldsymbol{\mu}_0, \boldsymbol{Q}^{-1})\) and \(\boldsymbol{Q} \sim \mathsf{Wishart}_p(\nu, \mathbf{S})\) for \(\nu \geq p\). Then, \[\begin{align*} p(\boldsymbol{Q} \mid \boldsymbol{\mu}, \boldsymbol{\mu}_0) \propto & |\boldsymbol{Q}|^{(\nu-p-1)/2}\exp\{-\mathrm{tr}(\mathbf{S}^{-1}\boldsymbol{Q})/2\} \\ &\times |\boldsymbol{Q}|^{1/2} \exp \left\{ -\frac{1}{2} (\boldsymbol{\mu}-\boldsymbol{\mu}_0)^\top\boldsymbol{Q}(\boldsymbol{\mu}-\boldsymbol{\mu}_0)\right\} \end{align*}\] and thus \[ \boldsymbol{Q} \mid \boldsymbol{\mu}, \boldsymbol{\mu}_0 \sim \mathsf{Wishart}_p\{\nu + 1/2, \boldsymbol{S} + (\boldsymbol{\mu}-\boldsymbol{\mu}_0)(\boldsymbol{\mu}-\boldsymbol{\mu}_0)^\top\}.\]
Note that a \(1 \times 1\) matrix is equal to it’s trace, and the trace operator is invariant to cyclic of it’s argument, meaning that \[\begin{align*} (\boldsymbol{\mu}-\boldsymbol{\mu}_0)^\top\boldsymbol{Q}(\boldsymbol{\mu}-\boldsymbol{\mu}_0) = \mathrm{tr}\left\{ \boldsymbol{Q}(\boldsymbol{\mu}-\boldsymbol{\mu}_0)(\boldsymbol{\mu}-\boldsymbol{\mu}_0)^\top\right\}. \end{align*}\]
The marginal precision for the Wishart variate are gamma distributed with the same degrees of freedom \(\nu\).
Moreover, the absolute value of the correlation and marginal variance parameters are negatively related (Gelman et al., 2013). Large variance thus correspond to small correlations shrunk towards zero when the degrees of freedom increase.
Figure 2: Prior draws from a bivariate inverse Wishart with identity scale matrix and \(\nu \in \{3, 20\}\) degrees of freedom.
A better alternative is to specify
For the latter, the onion peel or LKJ prior, named after the authors of Lewandowski et al. (2009), is \[p(\mathbf{R}) \propto |\mathbf{R}|^{\eta-1}, \eta>0\]
The case \(\eta=1\) leads to uniform over the space of correlation matrices, and \(\eta>1\) favours the identity matrix.
With \(p\) covariates, there are \(2^p\) potential regression models.
This is too many models to explore for \(p\) large, and too many parameters relative to sample size \(n\).
Two solutions:
The discrete spike-and-slab prior (Mitchell & Beauchamp, 1988) is a two-component mixture with
\[\begin{align*} \beta_j \mid \gamma_j, \sigma^2 \sim \gamma_j \delta_0 + (1-\gamma_j)\mathsf{Gauss}(0, \sigma^2) \end{align*}\]
Set independent and identically distributed conjugate prior for \(\gamma_j \sim \mathsf{binom}(1, \omega),\) whence \[\begin{align*} p(\boldsymbol{\gamma} \mid \omega) = \prod_{j=1}^n \omega^{\gamma_j} (1-\omega)^{1-\gamma_j} \end{align*}\]
Apriori, we set \(\omega \in (0,1)\) as the proportion of the \(p\) coefficients \(\boldsymbol{\beta}\) that are zero (so \(p(1-\omega)\) nonzero coefficients).
George & McCulloch (1993) replaced the spike by a Gaussian with near infinite precision around zero, with \[\begin{align*} \beta_j \mid \gamma_j, \sigma_j^2,\phi^2_j \sim \gamma_j \mathsf{Gauss}(0, \sigma_j^2\phi^2) + (1-\gamma_j) \mathsf{Gauss}(0, \sigma^2_j) \end{align*}\] where \(\phi^2_j\) is very nearly zero, typically \(\phi_j^2=0.001\).
The construction allows for variable augmentation with mixture indicators and Gibbs sampling, although mixing tends to be poor.
The horseshoe prior of Carvalho et al. (2010) is a hierarchical prior of the form \[\begin{align*} \beta_j \mid \sigma^2_j &\sim \mathsf{Gauss}(0, \sigma^2_j),\\\sigma^2_j \mid \lambda &\sim \mathsf{Student}_{+}(0, \lambda, 1),\\ \lambda &\sim \mathsf{Student}_{+}(0, \omega, 1) \end{align*}\] where \(\mathsf{Student}_{+}(0, a, 1)\) denotes a half-Cauchy distribution with scale \(a>0,\) truncated on \(\mathbb{R}_{+}.\)
The choice of \(\sigma^2_j\) leads to an unconditional scale mixture of Gaussian for \(\beta_j\).
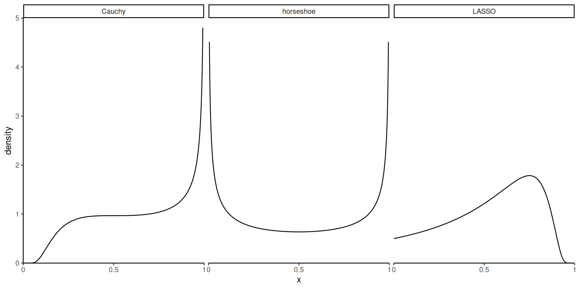
Better is to consider \[\kappa = 1 - 1/(1+\sigma^2) \in [0,1].\] Penalization of near-zero components can be deduced from the density of \(\kappa \to 0\), and similarly penalization of large signals by looking at the density when \(\kappa \to 1.\)
Weighting implied by Gaussian mixture density with Cauchy/Laplace/horsehoe.
Figure 3: Density of penalization weights \(\kappa\) of spike (near zero) and slab (near one) for three shrinkage priors.
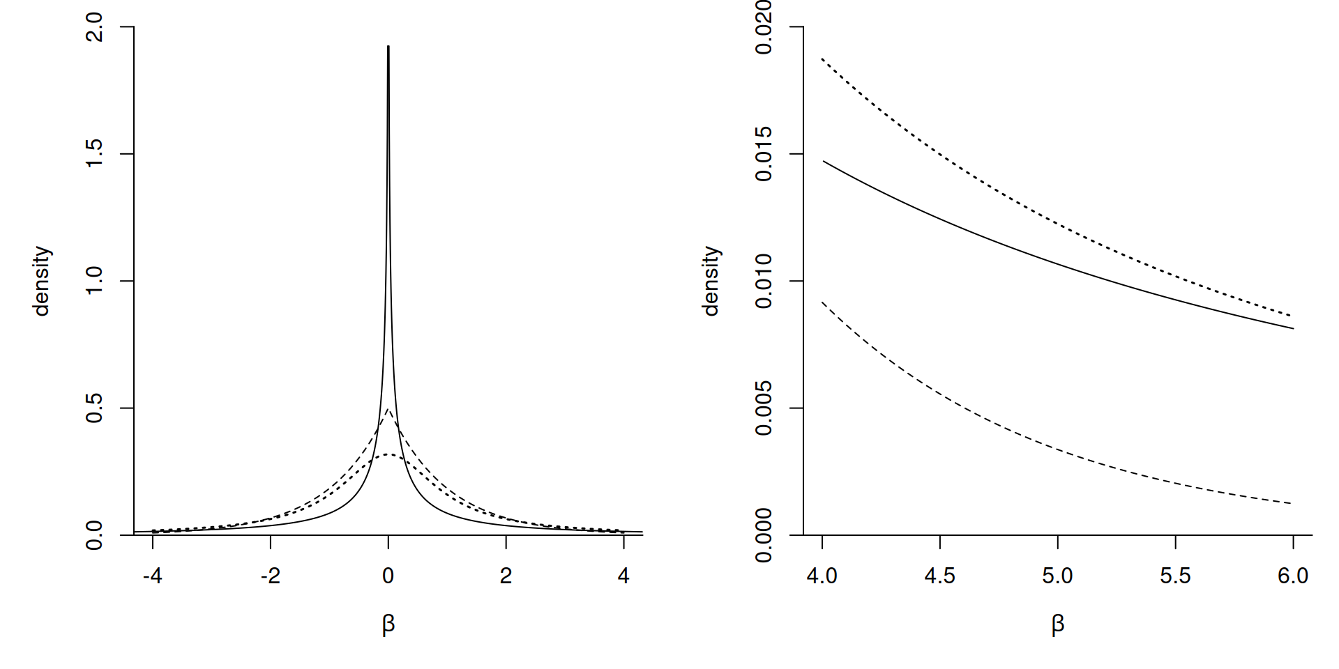
Figure 4: Marginal density for a regression coefficient \(\beta\) with horseshoe prior (full), Laplace (dashed) and a Student-\(t\) (thick dotted).
Piironen & Vehtari (2017) proposed instead \[\begin{align*} \beta_j \mid \lambda, \tau_j, c^2 &\sim \mathsf{Gauss}\left(0, \lambda\frac{c^2\tau_j^2}{c^2 + \tau^2_j\lambda^2}\right), \\ \tau_j &\sim \mathsf{Student}_{+}(0, 1, 1)\\ c^2 \mid s^2, \nu &\sim \mathsf{inv. gamma}(\nu/2, \nu s^2/2). \end{align*}\]
When \(\tau^2\lambda^2_j\) is much greater than \(c^2\), this amounts to having a Student slab with \(\nu\) degrees of freedom for large coefficients.
Taking a small value of \(\nu\) allows for large, but not extreme components, and the authors use \(s^2=2, \nu=4.\)
The above specification does not specify the prior for the global scale \(\lambda\), for which Piironen & Vehtari (2017) recommend \[\lambda \sim \mathsf{Student}_{+}\left\{0, \frac{p_0}{(p-p_0)}\frac{\sigma}{n^{1/2}}, 1\right\},\] where \(p_0\) is a prior guess for the number of non-zero components out of \(p,\) \(n\) is the sample size and \(\sigma\) is some level of the noise.
We revisit the diabetes data from the R package lars, which was used in Park & Casella (2008) to illustrate the Bayesian LASSO. We consider three methods:
Models are fitted using the bayesreg package.
Figure 5: Density estimates for regression coefficients with Gaussian (ridge), double exponential (Laplace) and horseshoe priors for the diabetes data.
BMA refers to situation where we specify a mixture of models \(M_1, \ldots,\), and we wish to recover the posterior weights of these.
This is useful for predictions (ensemble) methods to account for uncertainty in variable selection.
We consider design of MCMC for moving between models.
Reversible jump Markov chain Monte Carlo (Green, 1995) is an extension of the classical Metropolis–Hastings scheme that allows for arbitrary measures and through this varying dimensions.
Varying dimensions occurs not only with variable selection, but also changepoint analysis and mixture models with varying number of components.
Reversible jump requires dimension-balancing and defining different types of moves for jumping between dimensions.
Dimensions changes are integrated in the Metropolis–Hastings step through a Jacobian term \(J\): the probability of rejection \(R\) for Metropolis becomes \[\begin{align*} R = J\frac{p(\boldsymbol{\theta}_t^{\star})}{p(\boldsymbol{\theta}_{t-1})}\frac{q(\boldsymbol{\theta}_{t-1} \mid \boldsymbol{\theta}_t^{\star} )}{q(\boldsymbol{\theta}_t^{\star} \mid \boldsymbol{\theta}_{t-1})} \end{align*}\]
In regression models, we will consider moves that adds or removes one parameter/regressor at a time.
We consider models \(M_1, \ldots, M_m\) with for simplicity \(p(M_i)=1\) for all models that include an intercept.
We write \(|M|\) for the cardinality of the set of non-zero coefficients \(\boldsymbol{\beta}\) in model \(M.\)
Define \(\mathbf{X}^{(m)}\) and \(\boldsymbol{\beta}^{(m)}\) as the model matrix and the associated vector of non-zero coefficients associated with model \(M_m\)
\[\begin{align*} \boldsymbol{Y} \mid M_m, \boldsymbol{\beta}, \sim \mathsf{Gauss}(\mathbf{X}^{(m)}\boldsymbol{\beta}^{(m)}, \sigma^2 \mathbf{I}_n). \end{align*}\]
We assign a Gaussian prior on \(\boldsymbol{\beta}^{(m)} \mid M_m,\) is assigned a Gaussian prior, etc.
Write \(\boldsymbol{\theta}\) for all parameters other than the response, model and vector of coefficients.
We can consider a joint update of the regression parameters \(\boldsymbol{\beta}, M\) by sampling from their joint distribution via \[p(\boldsymbol{\beta} \mid M, \boldsymbol{\theta}) p(M \mid \boldsymbol{\theta}).\] The update for \(p(\boldsymbol{\beta} \mid M, \boldsymbol{\theta})\) is as usual.
The conditional Bayes factor \[\begin{align*} p(M \mid \boldsymbol{Y}, \boldsymbol{\theta}) &\stackrel{M}{\propto} p(M) p(\boldsymbol{Y} \mid M, \boldsymbol{\theta}) \\&= p(M) \int_{\mathbb{R}^{\mathbb{|M|}}}p(\boldsymbol{Y} \mid M, \boldsymbol{\beta},\boldsymbol{\theta}) p(\boldsymbol{\beta} \mid M, \boldsymbol{\theta}) d \boldsymbol{\beta} \end{align*}\]
We can thus marginalize over \(\boldsymbol{\beta}\) to get \[\begin{align*} p(\boldsymbol{M} \mid \boldsymbol{Y}, \boldsymbol{\theta}) \propto p(M) |\boldsymbol{Q}_{\boldsymbol{\beta}}|^{-1/2}\exp\left( \frac{1}{2} \boldsymbol{\mu}_{\boldsymbol{\beta}}^\top\boldsymbol{Q}_{\boldsymbol{\beta}} \boldsymbol{\mu}_{\boldsymbol{\beta}}\right) \end{align*}\] where \(\boldsymbol{\mu}_{\boldsymbol{\beta}}\) and \(\boldsymbol{Q}_{\boldsymbol{\beta}}\) are the mean and precision of \(p(\boldsymbol{\beta} \mid \boldsymbol{Y}, M, \boldsymbol{\theta}).\)
We consider different types of move for the \(k_{\max}\) potential covariates (including interactions, etc.) (Holmes et al., 2002)
Only the last type of move preserves the dimension.
For most moves \(J=1\) in this case, except in four cases where the dimension \(|M| \in\{1, 2, k_{\max}-1, k_{\max}\}\) and
We can keep track of which variables are active at each iteration of the MCMC and obtain the marginal posterior probability of inclusion through sample proportions.
This methods that explores neighbouring models (Grey code) only works with a limited number of covariates \(p < 25.\)

Comments about the horseshoe
While the horseshoe prior guarantees that large coefficients are not regularized, this feature of the shrinkage prior is harmful in certain instances, for example separation of variables for logistic regression.
Markov chain Monte Carlo simulations are hampered by these parameters whose posterior mean does not exist, leading to poor mixing.