02. Inférence basée sur la vraisemblance
2024
La base de données attente contient le temps en secondes entre 17h59 et l’heure de départ de la prochain rame de métro à la station Université de Montréal sur la ligne bleue du métro de Montréal. Les données ont été collectées sur trois mois (62 jours en semaine). Les observations sont positives et vont de \(4\) à \(57\) secondes.
Figure 1: Histogramme du temps d’attente; les traits indiquent les temps observés.
Le point de départ d’un modèle statistique est le processus de génération de données.
Nous postulons que les données \(\boldsymbol{y}\) proviennent d’une loi de probabilité avec un vecteur de paramètres (inconnu) de dimension \(p\), dénoté \(\boldsymbol{\theta} \in \boldsymbol{\Theta} \subseteq \mathbb{R}^p\).
En supposant que les données sont indépendantes, la densité (ou la fonction de masse) conjointe se factorise en \[\begin{align*} f(\boldsymbol{y} ; \boldsymbol{\theta}) = \prod_{i=1}^n f_i(y_i ; \boldsymbol{\theta}) = f_1(y_1 ; \boldsymbol{\theta}) \times \cdots \times f_n(y_n ; \boldsymbol{\theta}). \end{align*}\] Si les données sont identiquement distribuées, alors toutes les densités marginales sont identiques, ce qui signifie que \(f_1(\cdot) = \cdots f_n(\cdot)\).
Pour modéliser le temps d’attente, nous pouvons considérer par exemple une loi exponentielle \(Y_i \stackrel{\mathrm{iid}}{\sim}\mathsf{exp}(\lambda)\) avec paramètre d’échelle \(\lambda>0\), dont la densité est \[f(x) =\lambda^{-1}\exp(-x/\lambda), \qquad x \ge 0.\] L’espérance est égale à l’échelle, donc \(\mathsf{E}(Y)=\lambda\).
Dans notre exemple, la densité conjointe du modèle exponentielle pour un vecteur d’observations \(y_1, \ldots, y_n\) est \[\begin{align*} f(\boldsymbol{y}) = \prod_{i=1}^n f(y_i) =\prod_{i=1}^n \lambda^{-1} \exp(- y_i/\lambda) = \lambda^{-n} \exp\left(- \sum_{i=1}^n y_i/\lambda\right) \end{align*}\] L’espace d’échantillonnage est \(\mathbb{R}_{+}^n = [0, \infty)^n,\) tandis que l’espace des paramètres est \((0, \infty).\)
Pour estimer le paramètre d’échelle \(\lambda\) et obtenir des mesures d’incertitude appropriées, nous avons besoin d’un cadre de modélisation.
Définition 1 La vraisemblance \(L(\boldsymbol{\theta})\) est une fonction des paramètres \(\boldsymbol{\theta}\) qui donne la probabilité (ou densité) d’observer un échantillon selon une loi postulée, en traitant les observations comme fixes, \[\begin{align*} L(\boldsymbol{\theta}; \boldsymbol{y}) = f(\boldsymbol{y}; \boldsymbol{\theta}), \end{align*}\] où \(f(\boldsymbol{y}; \boldsymbol{\theta})\) désigne la densité ou la fonction de masse conjointe du \(n\)-vecteur des observations.
En pratique, on travaille plutôt avec la log-vraisemblance \(\ell(\boldsymbol{\theta} ; \boldsymbol{y}) = \ln L(\boldsymbol{\theta} ; \boldsymbol{y})\).
Définition 2 L’estimateur du maximum de vraisemblance (EMV) \(\widehat{\boldsymbol{\theta}}\) est la valeur du vecteur qui maximise la vraisemblance,1. \[\begin{align*} \widehat{\boldsymbol{\theta}} = \mathrm{arg max}_{\boldsymbol{\theta} \in \boldsymbol{\Theta}} L(\boldsymbol{\theta}; \boldsymbol{y}) = \mathrm{arg max}_{\boldsymbol{\theta} \in \boldsymbol{\Theta}} \ell(\boldsymbol{\theta}; \boldsymbol{y}). \end{align*}\]
Figure 2: Fonction de log-vraisemblance exponentielle pour le temps d’attente, avec l’estimation du maximum de vraisemblance données par la ligne verticale pointillée (droite).
Nous voulons trouver les valeurs des paramètres qui rendent les données les plus probables d’avoir été générées par notre modèle.
Pensée scientifique: tout ce que nous observons, nous nous attendions à l’obtenir.
Partout tous les modèles considérés dans la famille \(\mathcal{F} = \{f(\boldsymbol{x}; \boldsymbol{\theta}), \boldsymbol{\theta} \in \boldsymbol{\Theta}\}\), on prend celui le plus compatible avec les observations.
Nous pouvons faire appel au calcul différentiel pour trouver le maximum de la fonction \(\ell(\lambda)\).
En prenant la dérivée première et en fixant le résultat à zéro, nous trouvons \[\begin{align*} \frac{\mathrm{d} \ell(\lambda)}{\mathrm{d} \lambda} = -\frac{n}{\lambda} + \frac{1}{\lambda^2} \sum_{i=1}^n y_i = 0. \end{align*}\] Si on résout pour \(\lambda\), on trouve \(\widehat{\lambda} = \sum_{i=1}^n y_i / n.\)
La dérivée seconde de la log-vraisemblance est \(\mathrm{d}^2 \ell(\lambda)/\mathrm{d} \lambda^2 = n(\lambda^{-2} - 2\lambda^{-3}\overline{y}),\) et en substituant \(\lambda = \overline{y}\), on obtient \(-n/\overline{y}^2\). Puisque cette valeur est négative, \(\widehat{\lambda}\) maximise la fonction.
Si \(g(\boldsymbol{\theta}): \mathbb{R}^p \mapsto \mathbb{R}^k\) pour \(k \leq p\) est une fonction du vecteur de paramètres \(\boldsymbol{\theta}\), alors \(g(\widehat{\boldsymbol{\theta}})\) est un estimateur du maximum de vraisemblance de \(g(\boldsymbol{\theta})\).
Par exemple, nous pourrions calculer l’estimation du maximum de vraisemblance de la probabilité d’attendre plus d’une minute, \(\Pr(T>60) = \exp(-60/\widehat{\lambda})= 0.126,\) ou en utilisant R via la fonction de loi pexp.
On peut sélectionner la paramétrisation qui facilite le plus l’optimisation!
Le gradient (ou vecteur de dérivées première) de la log-vraisemblance \[\begin{align*} U(\boldsymbol{\theta}) = \frac{\partial \ell(\boldsymbol{\theta}; \boldsymbol{y})}{\partial \boldsymbol{\theta}} \end{align*}\] est dénommé fonction de score.
Sous conditions de régularité (voir par ex. le chapitre 4 de Davison (2003)), les EMV satisfont l’équation du score \[\begin{align*} U(\widehat{\boldsymbol{\theta}})=0. \end{align*}\]
Comment mesurer la précision de notre estimateur ? Les matrices d’observation encodent la courbure de la log-vraisemblance et fournissent de l’information sur la variabilité de \(\widehat{\boldsymbol{\theta}}.\)
La matrice d’information observée est le négatif de la hessienne de la log-vraisemblance, \[\begin{align*} j(\boldsymbol{\theta}; \boldsymbol{y})=-\frac{\partial^2 \ell(\boldsymbol{\theta}; \boldsymbol{y})}{\partial \boldsymbol{\theta} \partial \boldsymbol{\theta}^\top}, \end{align*}\] évaluée à l’estimation du maximum de vraisemblance \(\widehat{\boldsymbol{\theta}},\) soit \(j(\widehat{\boldsymbol{\theta}}).\) Sous des conditions de régularité, la matrice d’information de Fisher est \[\begin{align*} i(\boldsymbol{\theta}) = \mathsf{E}\left\{U(\boldsymbol{\theta}; \boldsymbol{Y}) U(\boldsymbol{\theta}; \boldsymbol{Y})^\top\right\} = \mathsf{E}\left\{j(\boldsymbol{\theta}; \boldsymbol{Y})\right\} \end{align*}\] À la fois la matrice d’information de Fisher et la matrice d’information observée sont symmétriques.
L’information de Fisher et l’observation observée pour un échantillon aléatoire simple de loi exponentielle \(Y_1, \ldots, Y_n,\) paramétrée en terme d’échelle \(\lambda,\) sont \[\begin{align*} j(\lambda; \boldsymbol{y}) &= -\frac{\partial^2 \ell(\lambda)}{\partial \lambda^2} = -n \left(\lambda^{-2} + 2\lambda^{-3}\sum_{i=1}^n y_i\right) \\ i(\lambda) &= \frac{n}{\lambda^{2}} + \frac{2}{n\lambda^{3}}\sum_{i=1}^n \mathsf{E}(Y_i) = \frac{n}{\lambda^{2}} \end{align*}\] puisque \(\mathsf{E}(Y_i) = \lambda\) et que l’espérance est un opérateur linéaire. Les deux versions de l’information coïncident lorsque évaluées à l’EMV, \(i(\widehat{\lambda}) = j(\widehat{\lambda}) = n/\overline{y}^2\) pour \(\widehat{\lambda}=\overline{y}\) la moyenne de l’échantillon. Ce n’est généralement pas le cas.
Si nous considérons une valeur initiale \(\boldsymbol{\theta}^{\dagger},\) sous des conditions de régularité appropriées, une expansion en série de Taylor du score dans un voisinage \(\boldsymbol{\theta}^{\dagger}\) des EMV \(\widehat{\boldsymbol{\theta}}\) donne \[\begin{align*} \boldsymbol{0}_p & = U(\widehat{\boldsymbol{\theta}}) \stackrel{\cdot}{\simeq} \left. \frac{\partial \ell(\boldsymbol{\theta})}{\partial \boldsymbol{\theta}} \right|_{\boldsymbol{\theta} = \boldsymbol{\theta}^{\dagger}} + \left. \frac{\partial^2 \ell(\boldsymbol{\theta})}{\partial \boldsymbol{\theta} \partial \boldsymbol{\theta}^\top}\right|_{\boldsymbol{\theta} = \boldsymbol{\theta}^{\dagger}}(\widehat{\boldsymbol{\theta}} - \boldsymbol{\theta}^{\dagger})\\&=U(\boldsymbol{\theta}^{\dagger}) - j(\boldsymbol{\theta}^{\dagger})(\widehat{\boldsymbol{\theta}} - \boldsymbol{\theta}^{\dagger}) \end{align*}\] et en la résolvant pour \(\widehat{\boldsymbol{\theta}}\) (à condition que la matrice \(p \times p\) \(j(\widehat{\boldsymbol{\theta}})\) soit inversible), nous obtenons \[\begin{align*} \widehat{\boldsymbol{\theta}} \stackrel{\cdot}{\simeq} \boldsymbol{\theta}^{\dagger} + j^{-1}(\boldsymbol{\theta}^{\dagger})U(\boldsymbol{\theta}^{\dagger}), \end{align*}\] ce qui suggère une procédure itérative à partir d’une valeur de départ \(\boldsymbol{\theta}^{\dagger}\) dans le voisinage du mode, jusqu’à ce que le gradient soit approximativement zéro.
La fonction de répartition d’une variable aléatoire de loi Weibull avec paramètres d’échelle \(\lambda>0\) et de forme \(\alpha>0\) est \[\begin{align*} F(x; \lambda, \alpha) &= 1 - \exp\left\{-(x/\lambda)^\alpha\right\}, \qquad x \geq 0, \lambda>0, \alpha>0, \end{align*}\] et la fonction de densité correspondante est \[\begin{align*} f(x; \lambda, \alpha) &= \frac{\alpha}{\lambda^\alpha} x^{\alpha-1}\exp\left\{-(x/\lambda)^\alpha\right\}, \qquad x \geq 0, \lambda>0, \alpha>0. \end{align*}\] La loi de Weibull inclut la loi exponentielle comme cas particulier lorsque \(\alpha=1.\) L’espérance de \(Y \sim \mathsf{Weibull}(\lambda, \alpha)\) est \(\mathsf{E}(Y) = \lambda \Gamma(1+1/\alpha).\)
La log-vraisemblance du modèle \(\mathsf{Weibull}(\lambda, \alpha)\) est \[\begin{align*} \ell(\lambda, \alpha) = n \ln(\alpha) - n\alpha\ln(\lambda) + (\alpha-1) \sum_{i=1}^n \ln y_i - \lambda^{-\alpha}\sum_{i=1}^n y_i^\alpha. \end{align*}\] Le gradient de cette fonction est obtenue par différentiation terme par terme, \[\begin{align*} \frac{\partial \ell(\lambda, \alpha)}{\partial \lambda} &= -\frac{n\alpha}{\lambda} +\alpha\lambda^{-\alpha-1}\sum_{i=1}^n y_i^\alpha \\ \frac{\partial \ell(\lambda, \alpha)}{\partial \alpha} &= \frac{n}{\alpha} - n \ln(\lambda) + \sum_{i=1}^n \ln y_i - \sum_{i=1}^n \left(\frac{y_i}{\lambda}\right)^{\alpha} \times\ln\left(\frac{y_i}{\lambda}\right). \end{align*}\]
Démo R
Optimisation numérique pour obtenir les estimations du maximum de vraisemblance de la loi Weibull.
Un diagramme quantile-quantile représente les données
Si le modèle est adéquat, les valeurs ordonnées devraient suivre une droite de pente unitaire qui passe par l’origine.
Le paquet MASS inclut des utilitaires pour estimer les paramètres de loi usuelles
# Estimer les paramètres
fit_weibull <- MASS::fitdistr(x = attente, densfun = "weibull")
# Extraire les EMVs
fit_weibull$estimate
## shape scale 
##   2.6  32.6
# Calculer les positions pour le diagramme QQ
n <- length(attente) # taille d'échantillon
xpos <- qweibull( # fonction quantile
  p = ppoints(n), # variables pseudo-uniformes
  shape = fit_weibull$estimate['shape'],
  scale = fit_weibull$estimate['scale'])
ypos <- sort(attente) # données triées en ordre croissant
#plot(x = xpos, y = ypos, panel.first = {abline(a = 0, b = 1)})Figure 3: Diagrammes quantile-quantile des modèles exponentiel (gauche) et Weibull (droite) avec intervalles de confiance ponctuels à 95% obtenus par autoamorçage.
Dénotons la vraie valeur du vecteur de paramètres \(\boldsymbol{\theta}_0.\)
L’estimateur du maximum de vraisemblance est
Les matrices d’information de Fisher et observées, \(i(\widehat{\boldsymbol{\theta}})\) et \(j(\widehat{\boldsymbol{\theta}})\), convergent aussi vers \(i(\boldsymbol{\theta}_0)\) quand \(n \to \infty\).
La loi d’échantillonnage d’un estimateur \(\widehat{\boldsymbol{\theta}}\) est la loi de probabilité induite par les données aléatoire sous-jacentes (rappelons que les intrants de l’estimateur sont aléatoires, donc la sortie l’est également).
Sous des conditions de régularité appropriées, le théorème central limite donne \[\begin{align*} i(\boldsymbol{\theta}_0)^{-1/2}U(\boldsymbol{\theta}_0) \stackrel{\cdot}{\sim}\mathsf{normale}_p(\boldsymbol{0}_p, \mathsf{I}_p). \end{align*}\]
Des approximations similaires pour la loi d’échantillonnage de \(\widehat{\boldsymbol{\theta}}\) montrent que \[\begin{align*} \widehat{\boldsymbol{\theta}} \stackrel{\cdot}{\sim} \mathsf{normale}_p\{\boldsymbol{\theta}_0, i^{-1}(\boldsymbol{\theta})\} \end{align*}\] où la matrice de covariance est l’inverse de l’information de Fisher.
En pratique, la véritable valeur du paramètre \(\boldsymbol{\theta}_0\) étant inconnue, nous remplaçons \(i(\boldsymbol{\theta}_0)\) par \(i(\widehat{\boldsymbol{\theta}})\) ou \(j(\widehat{\boldsymbol{\theta}})\).
Nous pouvons utiliser ces résultats pour l’inférence statistique! Les erreurs-type sont simplement la racine carrée des entrées de la diagonale de la matrice hessienne inverse, \(\mathrm{se}(\widehat{\boldsymbol{\theta}})=[\mathrm{diag}\{j^{-1}(\widehat{\boldsymbol{\theta}})\}]^{1/2}\).
# 'opt_weibull' contient les résultats de l'optimisation
# où on a minimisé le négatif de la log-vraisemblance
# La matrice hessienne retournée est évaluée aux EMV
# c'est donc l'information observée
(mle_weibull <- opt_weibull$par)
## [1] 32.6  2.6
(obsinfo_weibull <- opt_weibull$hessian)
##        [,1]   [,2]
## [1,]  0.396 -0.818
## [2,] -0.818 16.998
# La matrice de covariance est l'inverse de l'information
(vmat_weibull <- solve(obsinfo_weibull))
##       [,1]   [,2]
## [1,] 2.804 0.1349
## [2,] 0.135 0.0653
# Erreurs-type
(se_weibull <- sqrt(diag(vmat_weibull)))
## [1] 1.675 0.256Le résultat sur la normalité asymptotique de l’estimateur peut être utilisé pour dériver les erreurs standard pour d’autres quantités d’intérêt.
Si \(\phi = g(\boldsymbol{\theta})\), où \(g: \mathbb{R}^p \to \mathbb{R}^k\) pour \(k \leq p\) est une fonction différentiable de \(\boldsymbol{\theta}\) non-nulle à \(\boldsymbol{\theta}_0\) alors \[\widehat{\phi} \stackrel{\cdot}{\sim}\mathsf{normale}(\phi_0, \nabla \phi^\top i(\boldsymbol{\theta}_0)^{-1} \nabla \phi),\] où \[\nabla \phi=[\partial \phi/\partial \theta_1, \ldots, \partial \phi/\partial \theta_p]^\top.\]
La matrice de variance et le Jacobien sont évalués à l’estimation du maximum de vraisemblance \(\widehat{\boldsymbol{\theta}}.\)
À partir de ces résultats, il est possible d’obtenir des intervalles de confiance de niveau \((1-\alpha)\) de Wald pour les paramètres de \(\boldsymbol{\theta}\), où pour \(\theta_j\) \((j=1, \ldots, p)\), \[\begin{align*} \widehat{\theta}_j \pm \mathfrak{z}_{1-\alpha/2}\mathrm{se}(\widehat{\theta}_j), \end{align*}\] avec \(\mathfrak{z}_{1-\alpha/2}\) le quantile \(1-\alpha/2\) d’une loi normale standard.
Ces intervalles de confiance sont symmétriques.
Considérons la probabilité d’attendre plus d’une minute, \(\phi=g(\lambda) = \exp(-60/\lambda)\). L’estimation du maximum de vraisemblance est, par invariance, \(0.126\) et le gradient de \(g\) par rapport au paramètre d’échelle est \(\nabla \phi = \partial \phi / \partial \lambda = 60\exp(-60/\lambda)/\lambda^2.\)
lambda_hat <- mean(attente)
phi_hat <- exp(-60/lambda_hat)
# Dérivée de phi par rapport à  lambda
dphi <- function(lambda){60*exp(-60/lambda)/(lambda^2)}
# Inverse de l'information observée
V_lambda <- lambda_hat^2/length(attente)
# Variance de phi
V_phi <- dphi(lambda_hat)^2 * V_lambda
# Erreurs-type de phi
(se_phi <- sqrt(V_phi))
## [1] 0.0331On fait le même calcul avec le modèle Weibull…
fit <- MASS::fitdistr(x = attente, densfun = "weibull", 
               start = list(scale = mean(attente), shape = 1))
g <- function(pars){ 
  pweibull(q = 60, shape = pars[2], scale = pars[1], lower.tail = FALSE)
}
# Calcul du jacobien de la transformation
grad_g <- function(pars){numDeriv::grad(func = g, x = pars)}
nabla <- grad_g(pars = fit$estimate)
# Calcul des erreurs-type
se_p60_weib <- sqrt(t(nabla) %*% fit$vcov %*% nabla)
# Intervalle de confiance de Wald pour Pr(Y > 60)
g(fit$estimate) + qnorm(c(0.025, 0.975))*c(se_p60_weib)
## [1] -0.00475  0.01956L’intervalle de confiance inclut des valeurs négatives pour les probabilités!
Nous considérons une hypothèse nulle \(\mathscr{H}_0\) qui impose des restrictions sur les valeurs possibles de \(\boldsymbol{\theta}\), par rapport à une alternative sans contrainte \(\mathscr{H}_a.\)
Il existe deux modèles emboîtés : un modèle complet (hypothèse alternative) et un modèle réduit (hypothèse nulle) pour lequel l’espace des paramètres qui est un sous-ensemble de celui du modèle complet auquel nous imposons \(q\) restrictions sur les paramètres.
Par exemple, la loi exponentielle est un cas particulier de la loi de Weibull si \(\alpha=1\).
L’hypothèse nulle \(\mathscr{H}_0\) testée est “le modèle réduit est une simplification adéquate du modèle complet”. La vraisemblance fournit trois classes principales de statistiques pour tester cette hypothèse, soit
où \(\widehat{\boldsymbol{\theta}}_0\) sont les EMV contraints pour le modèle sous l’hypothèse nulle, et \(\widehat{\boldsymbol{\theta}}\) les EMV du modèle complet.
Figure 4: Fonction de log-vraisemblance et illustrations des éléments des statistique du score, de Wald et du rapport de vraisemblance.
Les trois principales classes de statistiques permettant de tester une hypothèse nulle simple \(\mathscr{H}_0 : \boldsymbol{\theta}=\boldsymbol{\theta}_0\) par rapport à l’hypothèse alternative \(\mathscr{H}_a : \boldsymbol{\theta} \neq \boldsymbol{\theta}_0\) sont \[\begin{align*} W(\boldsymbol{\theta}_0) &= (\widehat{\boldsymbol{\theta}}-\boldsymbol{\theta}_0)^\top j(\widehat{\boldsymbol{\theta}})(\widehat{\boldsymbol{\theta}}-\boldsymbol{\theta}_0), &&(\text{Wald}) \\ R(\boldsymbol{\theta}_0) &= 2 \left\{ \ell(\widehat{\boldsymbol{\theta}})-\ell(\boldsymbol{\theta}_0)\right\}, &&(\text{rapport de vraisemblance})\\ S(\boldsymbol{\theta}_0) &= U^\top(\boldsymbol{\theta}_0)i^{-1}(\boldsymbol{\theta}_0)U(\boldsymbol{\theta}_0), && (\text{score}) \end{align*}\] où \(\boldsymbol{\theta}_0\) est la valeur nulle postulée du paramètre avec \(q\) restrictions. Si \(q \neq p\), alors on remplace \(\boldsymbol{\theta}_0\) par l’estimation contrainte \(\widehat{\boldsymbol{\theta}}_0\).
Sous \(\mathscr{H}_0\), les trois statistiques de test suivent une loi asymptotique \(\chi^2_q\), où les degrés de liberté \(q\) indiquent le nombre de restrictions.
Si \(\theta\) est un scalaire (cas \(q=1\)), des versions directionnelles de ces statistiques existent, \[\begin{align*} w(\theta_0)&=(\widehat{\theta}-\theta_0)/\mathsf{se}(\widehat{\theta}) &&(\text{Wald}) \\ r({\theta_0}) &= \mathrm{sign}(\widehat{\theta}-\theta)\left[2 \left\{\ell(\widehat{\theta})-\ell(\theta)\right\}\right]^{1/2} &&(\text{vraisemblance}) \\ s(\theta_0)&=i^{-1/2}(\theta_0)U(\theta_0) &&(\text{score}) \end{align*}\] En français, \(r\) est appelée racine directionnelle du rapport de vraisemblance.
Sous cette forme, si l’hypothèse nulle \(\mathscr{H}_0: \theta = \theta_0\) est vraie, alors \(w(\theta_0)\stackrel{\cdot}{\sim} \mathsf{normale}(0,1)\), etc.
Asymptotiquement, toutes les statistiques de test sont équivalentes (dans le sens où elles conduisent aux mêmes conclusions sur \(\mathscr{H}_0\)), mais elles ne sont pas identiques.
Figure 5: Surface de log-vraisemblance pour le modèle de Weibull avec des régions de confiance de 10 %, 20 %, , 90 % du rapport de vraisemblance (courbes de contour blanches). Les valeurs de log-vraisemblance les plus élevées sont indiquées par des couleurs plus foncées.
Nous pouvons tester si la loi exponentielle est une simplification adéquate de la loi de Weibull en imposant la restriction \(\mathscr{H}_0 : \alpha=1\). Nous comparons les statistiques de Wald \(W\) à un \(\chi^2_1\).
# Calculer la statistique de Wald
wald_exp <- (mle_weibull[2] - 1)/se_weibull[2]
# Calculer la valeur-p
pchisq(wald_exp^2, df = 1, lower.tail = FALSE)
## [1] 3.61e-10
# valeur-p inférieure à 5%, rejet de l'hypothèse nulle
# Intervalles de confiance de niveau 95%
mle_weibull[2] + qnorm(c(0.025, 0.975))*se_weibull[2]
## [1] 2.1 3.1
# La valeur 1 n'appartient pas à l'intervalle, rejeter H0Nous rejetons l’hypothèse nulle, ce qui signifie que le sous-modèle exponentiel n’est pas une simplification adéquate du modèle de Weibull \((\alpha \neq 1\)).
Considérons un modèle paramétrique avec une fonction de log-vraisemblance \(\ell(\boldsymbol{\theta})\). On partitionne le \(p\)-vecteur de paramètres \(\boldsymbol{\theta}=(\boldsymbol{\psi}, \boldsymbol{\varphi})\), où les paramètres d’intérêt sont \(\boldsymbol{\psi}\) de dimension \(q\) et un vecteur de nuisance à \(\boldsymbol{\varphi}\) de dimension \(p-q.\)
Nous pouvons considérer la vraisemblance profilée \(\ell_{\mathsf{p}},\) une fonction de \(\boldsymbol{\psi}\) uniquement, qui est obtenue en maximisant la vraisemblance ponctuellement à chaque valeur fixe \(\boldsymbol{\psi}_0\) par rapport au vecteur de nuisance \(\boldsymbol{\varphi}_{\psi_0},\) \[\begin{align*} \ell_{\mathsf{p}}(\boldsymbol{\psi})=\max_{\boldsymbol{\varphi}}\ell(\boldsymbol{\psi}, \boldsymbol{\varphi})=\ell(\boldsymbol{\psi}, \widehat{\boldsymbol{\varphi}}_{\boldsymbol{\psi}}). \end{align*}\]
Considérons le paramètre de forme \(\psi \equiv\alpha\) comme paramètre d’intérêt, et l’échelle \(\varphi\equiv\lambda\) comme paramètre de nuisance. À l’aide du gradient \[\begin{align*} \frac{\partial \ell(\lambda, \alpha)}{\partial \lambda} &= -\frac{n\alpha}{\lambda} +\alpha\lambda^{-\alpha-1}\sum_{i=1}^n y_i^\alpha \\ \end{align*}\] on trouve que la valeur de l’échelle qui maximise le logarithme de la vraisemblance pour \(\alpha\) donné est \[\begin{align*} \widehat{\lambda}_\alpha = \left( \frac{1}{n}\sum_{i=1}^n y_i^\alpha\right)^{1/\alpha}. \end{align*}\] et en introduisant cette valeur, on obtient une fonction de \(\alpha\) uniquement. Cela permet de réduire le problème d’optimisation à une recherche linéaire de \(\ell_{\mathsf{p}}(\alpha)\).
Figure 6: Vraisemblance profilée pour \(\alpha\), représentée par une ligne grise pointillée (à gauche) et par une coupe transversale (à droite). La vraisemblance profilée du panneau de droite a été décalée verticalement pour être zéro quand évaluée aux EMV; les lignes horizontales en pointillé indiquent les points de coupure pour les intervalles de confiance à 95% et 99%.
Démo R
Créer une fonction pour calculer les intervalles de confiance basés sur la log-vraisemblance profilée.
Pour obtenir les intervalles de confiance d’un paramètre scalaire, il existe une astuce qui facilite la dérivation.
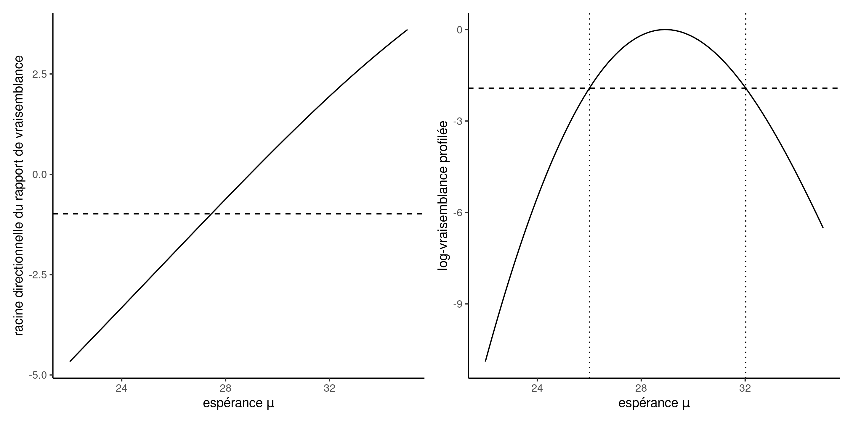
Figure 7: Racine directionnelle du rapport de vraisemblance (gauche) et log-vraisemblance profilée (droite) en fonction de l’espérance \(\mu\) pour un modèle Weibull.
La vraisemblance peut également servir d’élément de base pour la comparaison des modèles: plus \(\ell(\boldsymbol{\widehat{\theta}})\) est grand, meilleure est l’adéquation.
Les critères d’information combinent la log-vraisemblance, qui mesure l’adéquation du modèle aux données, avec une pénalité pour le nombre de paramètres. \[\begin{align*} \mathsf{AIC}&=-2\ell(\widehat{\boldsymbol{\theta}})+2p \\ \mathsf{BIC}&=-2\ell(\widehat{\boldsymbol{\theta}})+p\ln(n), \end{align*}\] où \(p\) dénote le nombre de paramètres du modèle.
Le plus petit la valeur du critère d’information d’Akaike (AIC) ou du critère bayésien d’information (BIC), le meilleur le modèle.
Objectifs d’apprentissage
