06. Modèles linéaires
2024
Il y a quatre postulats principaux du modèle linéaire de la forme \[Y_i \mid \mathbf{x}_i \sim \mathsf{normal}(\mathbf{x}_i\boldsymbol{\beta}, \sigma^2)\]
Notre stratégie consiste à créer des outils de diagnostics graphiques ou à effectuer des tests d’hypothèse pour s’assurer qu’il n’y a pas de violation flagrante des postulats du modèle.
La moyenne est \[\mathsf{E}(Y_i \mid \mathbf{x}_i)=\beta_0 + \beta_1x_{i1} + \cdots + \beta_p x_{ip}.\]
Implicitement,
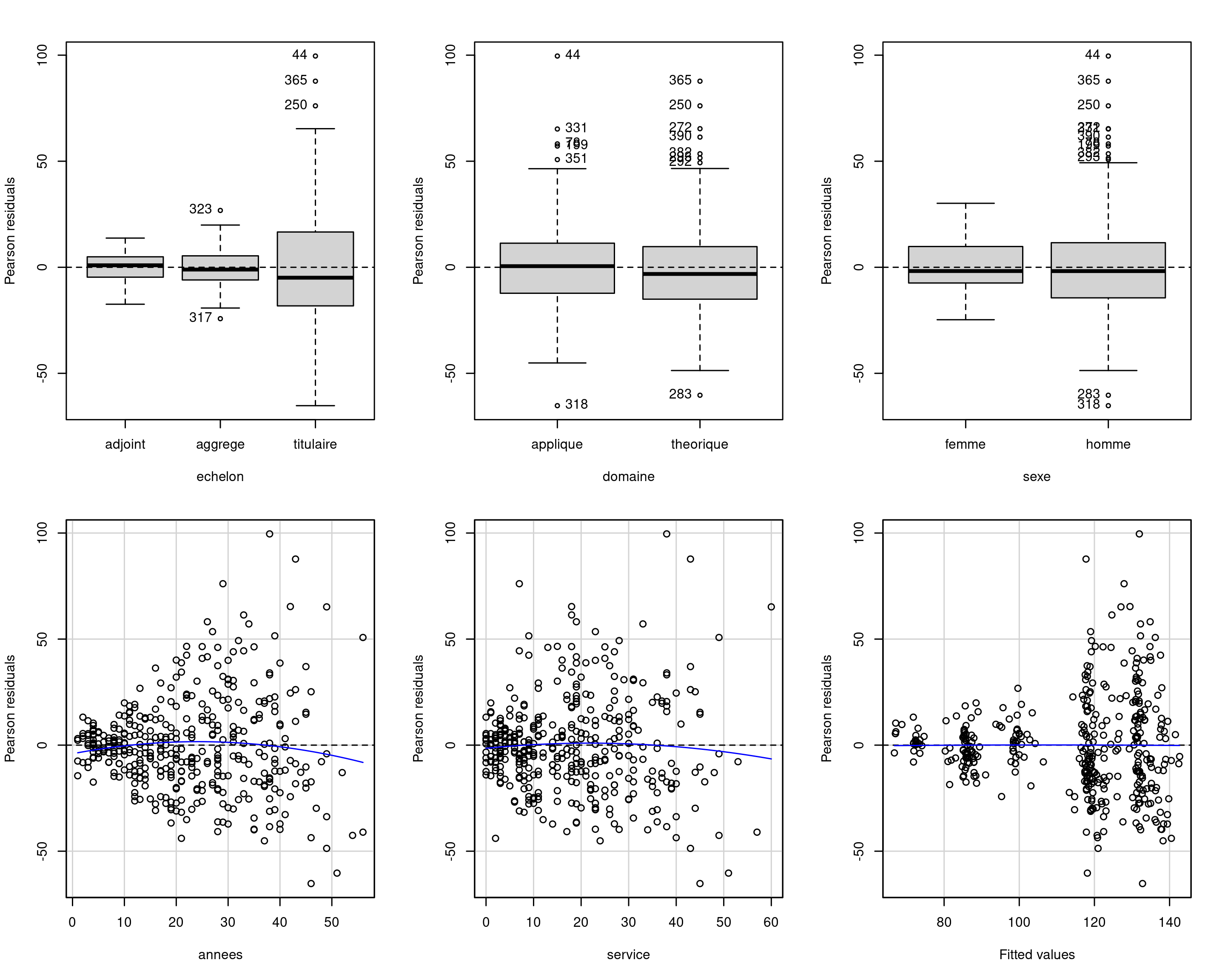
On utilise les résidus ordinaires \(\boldsymbol{e}\), qui ne sont pas corrélés avec les valeurs ajustées \(\widehat{\boldsymbol{y}}\) et les variables explicatives (c’est-à-dire les colonnes de \(\mathbf{X}\)).
Toute tendance locale (par exemple, tendance quadratique, cycles, points de ruptures, sous-groupes) indique une mauvaise spécification du modèle pour la moyenne.
Utiliser une courbe de lissage local (GAM ou LOESS) pour détecter les tendances.
Cherchez les tendances dans l’axe des ordonnées \(y\), pas dans l’axe des abcisses \(x\) !
Figure 1: Diagrammes des résidus par rapport aux valeurs ajustées. Les deux premiers diagrammes ne montrent aucun écart par rapport à la linéarité (moyenne locale nulle). Le troisième diagramme montre une tendance quadratique évidente, ce qui suggère que le modèle moyen est mal spécifié. Notez que la distribution de la valeur ajustée n’est pas nécessairement uniforme, comme dans le deuxième panneau.
Figure 2: Diagramme des résidus en fonction des variables explicatives (à gauche) et d’une covariable omise (à droite). On constate une interaction oubliée entre l’IMC et l’indicateur fumeur/obèse, et une tendance linéaire pour le nombre d’enfants.
Complexifiez le modèle:
On suppose que la variance est la même pour toutes les observations, \(\mathsf{Va}(Y_i \mid \mathbf{x}_i) = \sigma^2\)
Les schémas d’hétéroscédasticité usuels sont:
On crée des diagnostics avec les résidus studentisés externes \(r_i\), qui ont la même variance contrairement aux résidus ordinaires \(e_i\).
Tests d’hypothèses:
Diagnostics graphiques:
Figure 3: Diagrammes des résidus studentisés externes en fonction des valeurs ajustées (gauche) et d’une variable catégorielle (droite).
# Résidus studentisés externes
r <- rstudent(modlin1_college)
# Test F de Levene
car::leveneTest(r ~ echelon, center = "mean", data = college)
## Levene's Test for Homogeneity of Variance (center = "mean")
## Df F value Pr(>F)
## group 2 50 <2e-16 ***
## 394
## ---
## Signif. codes: 0 '***' 0.001 '**' 0.01 '*' 0.05 '.' 0.1 ' ' 1
# Test du score avec Breusch-Pagan
car::ncvTest(modlin1_college, var.formula = ~ echelon)
## Non-constant Variance Score Test
## Variance formula: ~ echelon
## Chisquare = 70, Df = 2, p = 6e-16Figure 4: Histogramme de la loi nulle des valeurs-\(p\) obtenues par simulation à l’aide du test-\(t\) à deux échantillons (à gauche) et du test-\(t\) de Welch (à droite), sur la base de 10 000 simulations. Chaque échantillon simulé se compose de 50 observations provenant d’une distribution \(\mathsf{normale}(0, 1)\) et de 10 observations provenant d’une distribution \(\mathsf{normale}(0, 9)\). La loi uniforme sous \(\mathscr{H}_0\) aurait 5 % dans chacune des 20 cases utilisées pour l’affichage.
Spécifier une fonction pour la variance, par ex.
Une telle structure ouvre la voie à des comparaisons par le biais de tests de rapport de vraisemblance.
Pour les données de collège, on spécifie \(Y_i \sim \mathsf{normal}(\mathbf{x}_i\boldsymbol{\beta}, \sigma^2_{\texttt{echelon}_i})\) avec un paramètre de variance spécifique à l’échelon. Cela semble corriger l’hétéroscédasticité.
Le modèle est ajusté par maximum de vraisemblance restreint avec la fonction gls du paquet nlme.
Le fonctions t.test et oneway.test effectuent des tests d’hypothèse pour des comparaisons de moyennes: pour l’observation \(i\) du groupe \(j\), on spécifie que
\[Y_{ij} \sim \mathsf{normale}(\mu_j, \sigma^2_j).\] Ces tests sont parfois listés sont le nom de Welch (1947).
Il n’existe pas de loi nulle exacte dans le cas des comparaisons de moyennes, mais des approximations dues à Satterthwaite (1946) sont employées comme références.
On doit avoir suffisamment d’observations dans chaque sous-groupe pour estimer de manière fiable la moyenne et la variance.
Les économistes utilisent fréquemment des estimateurs sandwich (White 1980), en remplaçant l’estimateur usuel de la matrice de covariance des \(\widehat{\boldsymbol{\beta}}\), d’ordinaire \(S^2(\mathbf{X}^\top\mathbf{X})^{-1}\), par un estimateur sandwich de la forme
\[\widehat{\mathsf{Va}}_{\mathsf{HCE}}(\boldsymbol{\widehat{\beta}}) = (\mathbf{X}^\top\mathbf{X})^{-1}\mathbf{X}^\top\boldsymbol{\Omega}\mathbf{X}(\mathbf{X}^\top\mathbf{X})^{-1}\] avec \(\boldsymbol{\Omega}\) une matrice diagonale.
Les choix populaires pour des matrices convergente en cas d’hétéroscédasticité matrices (MacKinnon et White 1985), utilisent \(\mathrm{diag}(\boldsymbol{\Omega})_i = e_i^2/(1-h_{ii})^2\), dans le cas de la matrice \(\mathrm{HC}_3\).
Remplacer \(\mathsf{Va}(\widehat{\boldsymbol{\beta}})\) par \(\widehat{\mathsf{Va}}_{\mathsf{HCE}}(\boldsymbol{\widehat{\beta}})\) dans le formule des tests de Wald.
# Matrice de covariance sandwich
vcov_HCE <- car::hccm(modlin1_college)
# Statistiques de Wald
w <- coef(modlin1_college) / sqrt(diag(vcov_HCE))
# Rapport des variances avec/sans correction
diag(vcov_HCE) / diag(vcov(modlin1_college))
## (Intercept) echelonaggrege echelontitulaire domainetheorique
## 0.40 0.29 0.62 0.99
## sexehomme annees service
## 0.41 1.76 2.19
# Calcul des valeurs-p
valp <- 2*pt(abs(w),
df = modlin1_college$df.residual,
lower.tail = FALSE)Des données multiplicatives \[\begin{align*} \left(\begin{matrix} \text{moyenne $\mu_i$}\end{matrix}\right) \times \left(\begin{matrix} \text{aléa spécifique} \end{matrix}\right) \end{align*}\] ont une plus grande variabilité quand la variable réponse est grande.
Une transformation logarithmique de la variable réponse, \(\ln Y\), donne un modèle additif pour autant que \(Y > 0\).
Écrivons le modèle log-linéaire \[\begin{align*} \ln Y = \beta_0+ \beta_1 X_1 +\cdots + \beta_pX_p + \varepsilon; \end{align*}\] à l’échelle originale de la variable réponse, cela représente \[\begin{align*} Y &= \exp\left(\beta_0 +\beta_1 X_1 +\cdots + \beta_pX_p\right)\cdot \exp(\varepsilon), \end{align*}\] et donc \[\begin{align*} \mathsf{E}(Y \mid \mathbf{X}) = \exp(\beta_0 +\beta_1 X_1 +\cdots + \beta_pX_p) \times \mathsf{E}\{\exp(\varepsilon) \mid \mathbf{X}\}. \end{align*}\]
Si \(\varepsilon \mid \mathbf{x} \sim \mathsf{normal}(\mu,\sigma^2)\), alors \(\mathsf{E}\{\exp(\varepsilon) \mid \mathbf{x}\}= \exp(\mu+\sigma^2/2)\) et \(\exp(\varepsilon)\) suit une loi lognormale.
Une augmentation d’une unité de \(X_j\) mène à une augmentation moyenne de \(\beta_j\) de \(\ln Y\) sans interaction ni terme nonlinéaire pour \(X_j\), et cela se traduit par un facteur multiplicatif de \(\exp(\beta_j)\) à l’échelle de \(Y\).
Comparez le rapport de \(\mathsf{E}(Y \mid X_1=x+1)\) à \(\mathsf{E}(Y \mid X_1=x)\), \[\begin{align*} \frac{\mathsf{E}(Y \mid X_1=x+1, X_2, \ldots, X_p)}{\mathsf{E}(Y \mid X_1=x, X_2, \ldots, X_p)} = \frac{\exp\{\beta_1(x+1)\}}{\exp(\beta_1 x)} = \exp(\beta_1). \end{align*}\] Ainsi, \(\exp(\beta_1)\) donne le rapport des moyennes de \(Y\) quand \(X_1=x+1\) par rapport à \(X_1=x\), ceteris paribus (avec les restrictions habituelles).
L’interprétation (par rapport à la référence, dépend du signe de \(\beta_j\):
Considérons le cas où on prend le logarithme de \(Y\) et \(X_1\), avec \[\begin{align*} Y= X_1^{\beta_1}\exp(\beta_0 + \beta_2X_2 + \cdots + \beta_pX_p + \varepsilon) \end{align*}\] En prenant la dérivée par rapport à \(X_1>0\), on obtient \[\begin{align*} \frac{\partial Y}{\partial X_1}&= \beta_1 X_1^{\beta_1-1}\exp(\beta_0 + \beta_2X_2 + \cdots + \beta_pX_p + \varepsilon)= \frac{\beta_1 Y}{X_1} \end{align*}\] et réarranger cette expression nous donne \[\begin{align*} \frac{\partial X_1}{X_1}\beta_1 = \frac{\partial Y}{Y}; \end{align*}\] une mesure d’élasticité partielle: le coefficient \(\beta_1\) est un pourcentage de changement de \(Y\) pour chaque pourcentage d’augmentation de \(X_1\), ceteris paribus.
Découle du plan de collecte, nécessite du contexte pour la validation.
Parmi les cas où les données sont dépendantes, les plus fréquents sont
Les objets proches se ressemblent davantage, de sorte que la quantité de nouvelle information est inférieure à la taille de l’échantillon.
Lorsque les observations sont positivement corrélées, les erreurs-type estimées indiquées par le logiciel sont trop petites.
Cela signifie que nous sommes trop confiants et que nous rejetterons l’hypothèse nulle plus souvent que nous ne le devrions si l’hypothèse nulle était vraie (erreur de type I gonflée, plus de faux positifs).
Figure 5: Taux de rejet de l’hypothèse nulle pour le test \(F\) d’égalité des moyennes pour une ANOVA à une voie avec des données générées avec une moyenne et une variance constantes, à partir d’un modèle d’équicorrélation (les observations à l’intérieur d’un groupe sont corrélées, les observations entre les groupes sont indépendantes). Le niveau nominal du test est de 5%.
Le chapitre 6 traitera de données corrélées
L’idée principale est de modéliser la corrélation et la variance, en partant du vecteur complet d’observations et en supposant que \[\boldsymbol{Y} \mid \mathbf{X} \sim \mathsf{normal}_n(\mathbf{X}\boldsymbol{\beta}, \boldsymbol{\Sigma})\] avec un modèle pour la matrice de variance de dimension \(n \times n\), disons \(\boldsymbol{\Sigma}\), qui sera paramétré en fonction de \(\boldsymbol{\psi}\).
Pour les séries chronologiques, on peut considérer un corrélogramme, un diagramme à bande de la corrélation entre deux mesures d’une même variables à distance \(h\), en fonction de \(h\).
Avec \(n\) observations \(y_1, \ldots, y_n\), l’autocorrélation à décalage \(h=0, 1, \ldots\) est (Brockwell et Davis 2016, Définition 1.4.4) \[\begin{align*} r(h) = \frac{\gamma(h)}{\gamma(0)}, \qquad \gamma(h) = \frac{1}{n}\sum_{i=1}^{n-|h|} (y_i-\overline{y})(y_{i+h} - \overline{y}) \end{align*}\]
Figure 6: Corrélogramme d’observations indépendantes (à gauche) et des résidus ordinaires du modèle log-linéaire ajusté aux données sur le traffic aérien (à droite). Alors que le modèle moyen de ce dernier est apparemment correctement spécifié, il existe une dépendance résiduelle entre les observations mensuelles et annuelles (décalage de \(h=12\) mois). Les lignes traitillées en bleu indiquent un intervalle de confiance ponctuels approximatifs à 95 % pour un bruit blanc (observations non corrélées).
Sans nul doute le postulat le moins important.
L’estimateur des moindres carrés ordinaires est le meilleur estimateur linéaire sans biais (BLUE) si les données sont indépendantes et de variance constante, peu importe leur loi sous-jacente.
L’estimateur est sans biais et convergent même si la variance est mal spécifié, mais il n’est alors plus optimal.
Les tests pour les coefficients sont valides pourvu qu’ils soient estimés avec un nombre suffisant d’observations.
Les intervalles pour la moyenne prédite ont fiables, ce n’est pas nécessairement le cas pour les intervalles de prédiction.
Créer un diagramme quantile-quantile Student pour les résidus studentisés externes, sachant que \(R_i \sim \mathsf{Student}(n-p-2)\) si \(\varepsilon_i \sim \mathsf{normale}(0, \sigma^2)\).
Figure 7: Histogramme et densité par lissage de noyau (gauche) et diagramme quantile-quantile Student avec intervalles de confiances ponctuels à 95% obtenus par autoamorçage paramétrique (droite).
Figure 8: Diagrammes quantiles-quantiles de données discrète (coin supérieur gauche), à ailes lourdes (coin supérieur droit), asymmétrique à droite (coin inférieur gauche) et bimodales (coin inférieur droit).
Avec des données strictement positives, on peut utiliser une transformation de Box–Cox (Box et Cox 1964), \[\begin{align*} y(\lambda)= \begin{cases} (y^{\lambda}-1)/\lambda, & \lambda \neq 0\\ \ln(y), & \lambda=0. \end{cases} \end{align*}\] Les cas de figure
sont les plus importants car les modèles résultants sont interprétables.
Si on suppose que \(\boldsymbol{Y}(\lambda) \sim \mathsf{normal}(\mathbf{X}\boldsymbol{\beta}, \sigma^2 \mathbf{I}_n)\), alors la vraisemblance est \[\begin{align*} L(\lambda, \boldsymbol{\beta}, \sigma; \boldsymbol{y}, \mathbf{X}) &= (2\pi\sigma^2)^{-n/2} J(\lambda, \boldsymbol{y}) \times\\& \quad \exp \left[ - \frac{1}{2\sigma^2}\{\boldsymbol{y}(\lambda) - \mathbf{X}\boldsymbol{\beta}\}^\top\{\boldsymbol{y}(\lambda) - \mathbf{X}\boldsymbol{\beta}\}\right], \end{align*}\] où \(J\) dénote le Jacobien de la transformation Box–Cox, \(J(\lambda, \boldsymbol{y})=\prod_{i=1}^n y_i^{\lambda-1}\).
Pour chaque valeur de \(\lambda\), on obtient les estimateurs du maximum de vraisemblance usuels en remplaçant \(\boldsymbol{y}\) par \(\boldsymbol{y}(\lambda)\).
La log vraisemblance profilée pour \(\lambda\) est \[\begin{align*} \ell_{\mathsf{p}}(\lambda) = -\frac{n}{2}\ln(2\pi \widehat{\sigma}^2_\lambda) - \frac{n}{2} + (\lambda - 1)\sum_{i=1}^n \ln(y_i) \end{align*}\]
Box et Cox (1964) modélise le temps de survie de 48 animaux sur la base d’un essai aléatoire. Les données sur les poisons sont équilibrées, 3 poisons ayant été administrés avec 4 traitements à 4 animaux chacun.
Nous pourrions envisager une ANOVA à deux facteurs sans interaction, étant donné le peu d’observations pour chaque combinaison. Le modèle s’écrit alors \[\begin{align*} Y &= \beta_0 + \beta_1 \texttt{poison}_2 + \beta_2\texttt{poison}_3 +\beta_3\texttt{treatment}_2 \\ &\qquad+ \beta_4\texttt{treatment}_3 +\beta_5\texttt{treatment}_4 + \varepsilon \end{align*}\]
Figure 9: Diagnostics graphiques pour les données de poisons: résidus ordinaires (avec décalage) pour le modèle linéaire du temps de survie en fonction du type de poison et de traitements, et diagramme quantile-quantile des résidus studentisés.
L’intervalle de confiance à 95% basé sur la log-vraisemblance profilée pour le paramètre du modèle Box–Cox contient \(\lambda=-1\).
La réciproque de la variable réponse \(Y^{-1}\) indique la vitesse d’action du poison, selon le type et le traitement.
Les diagnostics graphiques de ce modèles ne montrent aucune structure résiduelle.
Nous ne pouvons pas comparer les modèles ajustés à \(Y_i\) par rapport à \(\ln Y_i\) en utilisant, par exemple, des critères d’information ou des tests, parce que les modèles ont des réponses différentes.
Nous pouvons toutefois utiliser la vraisemblance de Box–Cox, qui inclut le Jacobien de la transformation, pour évaluer la qualité de l’ajustement et comparer le modèle avec \(\lambda=0\) par rapport à \(\lambda=-1\).
Les valeurs aberrantes peuvent avoir un impact important sur l’ajustement, davantage si leur levier est élevé.
On trace la distance de Cook \(C_i\) en fonction du levier \(h_{ii}\), où \[\begin{align*} C_i=\frac{r_i^2h_{ii}}{(p+1)(1-h_{ii})}. \end{align*}\]
On peut aussi tester si les valeurs maximales pour les résidus Student sont plus grandes qu’attendues avec car::outlierTest.
Figure 10: Diagnostics graphiques pour valeurs aberrantes et influentes.
La régression robuste est moins efficace (erreurs standard plus élevées), mais plus résistante aux valeurs aberrantes.
La théorie des statistiques robustes dépasse le cadre de ce cours.
